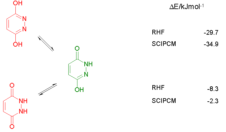
Tautomeric preferences in this system reflect destabilising effects of dipole-dipole repulsion; see literature reference for gory details Difficult system for continuum models (adjacent hydrogen bonding groups)