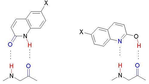
Hydrogen bonding properties of atoms (i.e. donor; acceptor) are used to dock structures and define 3D database search queries