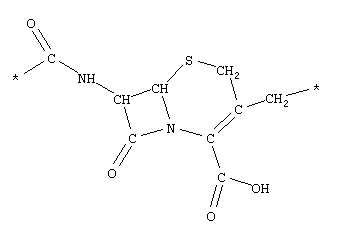
Example of typical performance test


cefalosporin-g1 moiety as queryu:

3 of 243 matches in wdi93:


Daylight Chemical Information Systems, Inc.
info@daylight.com